

教学目标
1.使学生进一步理解最简二次根式的概念;
2.较熟练地掌握把一个式子化为最简二次根式的方法.
教学重点和难点
重点:较熟练地把二次根式化为最简二次根式.
难点:把被开方数是多项式和分式的二次根式化为最简二次根式.
教学过程设计
一、复习
1.把下列各式化为最简二次根式:
请说出第(3),(4)题的解题过程.
答:第(3)题的被开方数是一个多项式,先把它分解因式,再运用积的算术平方根的性质,把根号中的平方式及平方数开出来,运算结果应化为最简二次根式.
![]()
理化.
二、新课
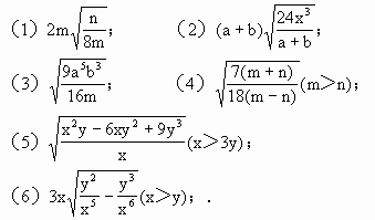
例1 把下列各式化成最简二次根式:
请说出各题的特点和解题思路.
答:(1)题的被开方数及(2)题的被开方数的分子是多项式,应化成因式积的形式,可以先分解因式,再化简.
(3)题的被开方数的分母是两个数的平方差,先利用平方差公式把它化为乘积形式,再根据商的算术平方根和积的算术平方根的性质及分母有理化的方法,使运算结果为最简二次根式.
例2 计算:
分析:依据二次根式的乘除法的法则进行计算,最后要把计算结果化成最简二次根式.
三、课堂练习
1.选择题:
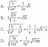
(1)下列二次根式中,最简二次根式是 [ ]
(2)下列二次根式中,最简二次根式是 [ ]
(3)下列二次根式中,最简二次根式是 [ ]
(4)下列二次根式中,最简二次根式是 [ ]
(5)下列二次根式中,最简二次根式是 [ ]
(7)下列化简中,正确的是 [ ]
(8)下列化简中,错误的是 [ ]
2.把下列各式化为最简二次根式:
3.计算:
答案:
四、小结
1.把一个式子化为最简二次根式时,如果被开方数是多项式,应把它化成积的形式,一般可考虑先分解因式,然后再化简.
2.如果一个式子的被开方数的分母是一个多项式,而这个多项式又不能分解因式(如课堂练习2(2)),在分母有理化时,把分子分母同乘以这个多项式.
3.二次根式的乘除法运算,运算结果一定要化为最简二次根式.
五、作业
1.把下列各式化成最简二次根式:
2.计算:
答案:

课堂教学设计说明
最简二次根式教学分二课时进行.教学设计中首先安排讨论二次根式的被开方数是单项式以及被开方数的分母是单项式的情况,然后再讨论被开方数是多项式和分母是多项式的情况.通过5个例题及课堂练习,最后达到使学生比较深刻地理解最简二次根式的概念,达到熟练地掌握把二次根式化为最简二次根式的教学目标.
的是引导学生能把一个式子化简为最简二次根式应用于有关计算问题中去,把最简二次根式和已学过的二次根式的乘除运算进行联系,促使学生把单个概念和方法纳入认知系统中,启发学生认识到二次根式的乘除运算与最简二次根式是密切关联的.

